| Overview | Group | Tree | Graph | Deprecated | Index | Concepts |
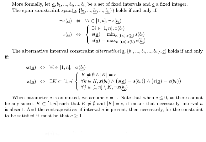
This section describes two constraints over groups of intervals. Their main purpose is to allow hierarchical creation of the model by "encapsulating" a group of interval variables by one "high level" interval. Here is an informal definition of these constraints:
)
states that the interval a spans
over all present intervals from the set
. In other words,
interval a starts together with
the first present interval from
and ends together with the last one.
) models an exclusive
alternative between
. If interval a is present then exactly one of intervals
is present and a starts and ends together with this chosen one. The alternative
constraint can also specify a non-negative integer cardinality c, alternative(a,
, c), in this case, not 1, but c interval variables
will be selected from the set
and those c selected
intervals will have to start and end together with interval variable a.